January 4, 2023

Logistic Regression

Introduction

Let's have a quick overall information given in one of the articles of javatpoint.com, after which we have a video from StatQuest with Josh Starmer, then we will go through article with detailed overview published in Towards Data Science by Saishruthi Swaminathan.

Logistic Regression in Machine Learning

  • Logistic regression is one of the most popular Machine Learning algorithms, which comes under the Supervised Learning technique. It is used for predicting the categorical dependent variable using a given set of independent variables.
  • Logistic regression predicts the output of a categorical dependent variable. Therefore the outcome must be a categorical or discrete value. It can be either Yes or No, 0 or 1, true or False, etc. but instead of giving the exact value as 0 and 1, it gives the probabilistic values which lie between 0 and 1.
  • Logistic Regression is much similar to the Linear Regression except that how they are used. Linear Regression is used for solving Regression problems, whereas Logistic regression is used for solving the classification problems.
  • In Logistic regression, instead of fitting a regression line, we fit an "S" shaped logistic function, which predicts two maximum values (0 or 1).
  • The curve from the logistic function indicates the likelihood of something such as whether the cells are cancerous or not, a mouse is obese or not based on its weight, etc.
  • Logistic Regression is a significant machine learning algorithm because it has the ability to provide probabilities and classify new data using continuous and discrete datasets.
  • Logistic Regression can be used to classify the observations using different types of data and can easily determine the most effective variables used for the classification. The below image is showing the logistic function:
https://www.javatpoint.com/logistic-regression-in-machine-learning
https://www.youtube.com/@statquest

Logistic Regression — Detailed Overview

Logistic Regression was used in the biological sciences in early twentieth century. It was then used in many social science applications. Logistic Regression is used when the dependent variable(target) is categorical.

For example,

  • To predict whether an email is spam (1) or (0)
  • Whether the tumor is malignant (1) or not (0)

Consider a scenario where we need to classify whether an email is spam or not. If we use linear regression for this problem, there is a need for setting up a threshold based on which classification can be done. Say if the actual class is malignant, predicted continuous value 0.4 and the threshold value is 0.5, the data point will be classified as not malignant which can lead to serious consequence in real time.

From this example, it can be inferred that linear regression is not suitable for classification problem. Linear regression is unbounded, and this brings logistic regression into picture. Their value strictly ranges from 0 to 1.

Simple Logistic Regression

(Full Source code: https://github.com/SSaishruthi/LogisticRegression_Vectorized_Implementation/blob/master/Logistic_Regression.ipynb)

Model

Output = 0 or 1

Hypothesis => Z = WX + B

hΘ(x) = sigmoid (Z)

Sigmoid Function

Figure 2: Sigmoid Activation Function

If ‘Z’ goes to infinity, Y(predicted) will become 1 and if ‘Z’ goes to negative infinity, Y(predicted) will become 0.

Analysis of the hypothesis

The output from the hypothesis is the estimated probability. This is used to infer how confident can predicted value be actual value when given an input X. Consider the below example,

X = [x0 x1] = [1 IP-Address]

Based on the x1 value, let’s say we obtained the estimated probability to be 0.8. This tells that there is 80% chance that an email will be spam.

Mathematically this can be written as,

Figure 3: Mathematical Representation

This justifies the name ‘logistic regression’. Data is fit into linear regression model, which then be acted upon by a logistic function predicting the target categorical dependent variable.

Types of Logistic Regression

1. Binary Logistic Regression

The categorical response has only two 2 possible outcomes. Example: Spam or Not

2. Multinomial Logistic Regression

Three or more categories without ordering. Example: Predicting which food is preferred more (Veg, Non-Veg, Vegan)

3. Ordinal Logistic Regression

Three or more categories with ordering. Example: Movie rating from 1 to 5

Decision Boundary

To predict which class a data belongs, a threshold can be set. Based upon this threshold, the obtained estimated probability is classified into classes.

Say, if predicted_value ≥ 0.5, then classify email as spam else as not spam.

Decision boundary can be linear or non-linear. Polynomial order can be increased to get complex decision boundary.

Cost Function

Figure 4: Cost Function of Logistic Regression

Why cost function which has been used for linear can not be used for logistic?

Linear regression uses mean squared error as its cost function. If this is used for logistic regression, then it will be a non-convex function of parameters (theta). Gradient descent will converge into global minimum only if the function is convex.

Figure 5: Convex and non-convex cost function

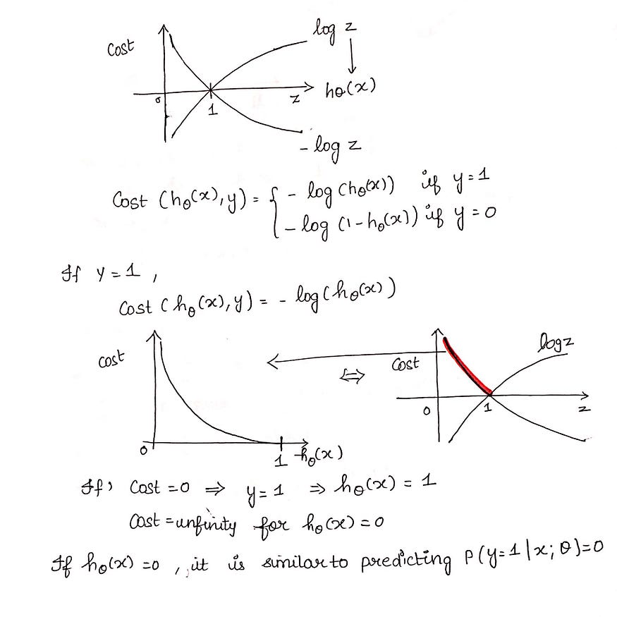
Cost function explanation

Figure 6: Cost Function part 1
Figure 7: Cost Function part 2

Simplified cost function

Figure 8: Simplified Cost Function

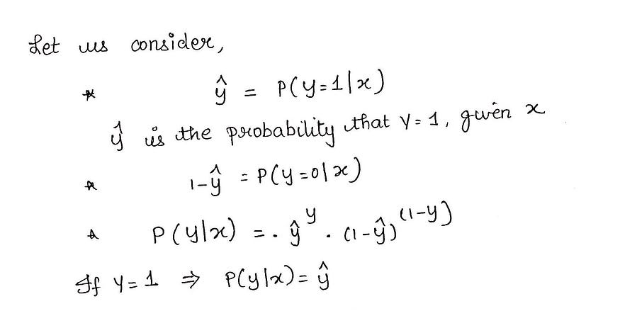
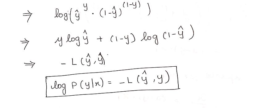
Why this cost function?

Figure 9: Maximum Likelihood Explanation part-1
Figure 10: Maximum Likelihood Explanation part-2

This negative function is because when we train, we need to maximize the probability by minimizing loss function. Decreasing the cost will increase the maximum likelihood assuming that samples are drawn from an identically independent distribution.

Deriving the formula for Gradient Descent Algorithm

Figure 11: Gradient Descent Algorithm part 1
Figure 12: Gradient Descent part 2

Python Implementation

def weightInitialization(n_features):
    w = np.zeros((1,n_features))
    b = 0
    return w,b
def sigmoid_activation(result):
    final_result = 1/(1+np.exp(-result))
    return final_result
    
def model_optimize(w, b, X, Y):
    m = X.shape[0]
    
    #Prediction
    final_result = sigmoid_activation(np.dot(w,X.T)+b)
    Y_T = Y.T
    cost = (-1/m)*(np.sum((Y_T*np.log(final_result)) + ((1-Y_T)*(np.log(1-final_result)))))
    
    #Gradient calculation
    dw = (1/m)*(np.dot(X.T, (final_result-Y.T).T))
    db = (1/m)*(np.sum(final_result-Y.T))
    
    grads = {"dw": dw, "db": db}
    
    return grads, cost
def model_predict(w, b, X, Y, learning_rate, no_iterations):
    costs = []
    for i in range(no_iterations):
        grads, cost = model_optimize(w,b,X,Y)
        dw = grads["dw"]
        db = grads["db"]
        #weight update
        w = w - (learning_rate * (dw.T))
        b = b - (learning_rate * db)
       
        if (i % 100 == 0):
            costs.append(cost)
            #print("Cost after %i iteration is %f" %(i, cost))
       
        #final parameters
        coeff = {"w": w, "b": b}
        gradient = {"dw": dw, "db": db}
       
        return coeff, gradient, costs
       
def predict(final_pred, m):
    y_pred = np.zeros((1,m))
    for i in range(final_pred.shape[1]):
        if final_pred[0][i] > 0.5:
            y_pred[0][i] = 1
    return y_pred

Cost vs Number_of_Iterations

Figure 13: Cost Reduction

Train and test accuracy of the system is 100 %

This implementation is for binary logistic regression. For data with more than 2 classes, softmax regression has to be used.

References

The article about Logistic Regression - https://www.javatpoint.com/logistic-regression-in-machine-learning

The video about Logistic Regression - https://www.youtube.com/watch?v=yIYKR4sgzI8

The main post about Logistic Regression - https://towardsdatascience.com/logistic-regression-detailed-overview-46c4da4303bc

Additional Info - https://www.ibm.com/topics/logistic-regression#:~:text=Resources-,What%20is%20logistic%20regression%3F,given%20dataset%20of%20independent%20variables.

The Source Code - https://github.com/SSaishruthi/LogisticRegression_Vectorized_Implementation/blob/master/Logistic_Regression.ipynb