
Группа экспертов-нутрициологов из про-пелотона продолжает регулярно поставлять качественную инфу в рамках UCI Sports Nutrition Project. Очередная публикация посвящена, казалось бы, простому, но на практике очень спорному вопросу: имеет ли значение, КОГДА именно мы потребляем углеводы во время интенсивной и длительной нагрузки, если общее их количество остается неизменным.

Каждый сезон ко мне приходят спортсмены с новой коробочкой на бицепсе или новым приложением на телефоне, которое «всё про меня знает и революционирует тренировки». Чаще всего это заканчивается одним и тем же разговором: что эта штука вообще измеряет, и насколько ей можно верить. Поэтому когда UCI заказала серию консенсусных обзоров, и один из них — про нутритивно-релевантные технологии в про пелотоне — оказался подписан именами Jeukendrup, Burke, Derave и Gonzalez, мимо пройти было нельзя. Это свежий обзор семи технологий, которые сейчас активно крутятся в World Tour: от пауэрметров и CGM до сенсоров температуры и портативных метаболических анализаторов.

Вся структура тренировочного процесса в циклических видах спорта строится вокруг определения индивидуальных зон интенсивности. Классическая трёхзонная модель опирается на два физиологических перехода: аэробный порог (AeT, он же LTP1/VT1) — переход из «легкой» в «умеренную» зону, и анаэробный порог (AnT, он же LTP2/VT2/MLSS) — переход из «умеренной» в «тяжелую» зону. Точное знание этих границ критично: тренировка ниже AeT даёт совершенно другую физиологическую адаптацию, чем тренировка между AeT и AnT, а пересечение AеT превращает «лёгкую» сессию в скрытую интенсивную работу с истощением гликогена, длительным восстановлением парасимпатической системы и риском перетренированности.

В январе 2026 в Scandinavian Journal of Medicine & Science in Sports вышла работа Mateo-March и коллег, которая закрывает дыру в нормативных данных по велоспорту: Record Power Profile (RPP) мужчин категории U23 — причём не только в свежем состоянии, но и после накопленной работы (Mateo-March et al., 2026, DOI: 10.1111/sms.70278).

По мотивам статьи Dr. Inigo San Millan (Apr 10, 2026), с авторским разбором

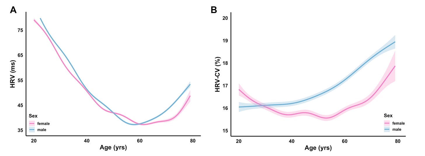
В феврале 2026 года в American Journal of Physiology вышла работа Grosicki et al., которая сразу привлекла внимание сообщества спортивной науки и производителей носимых устройств. Авторы предлагают новый взгляд на хорошо известный инструмент — коэффициент вариации HRV (HRV-CV) — и заявляют о его потенциале как масштабируемого биомаркера для мониторинга здоровья. Почти два миллиона ночей наблюдений, более 21 000 участников.

17 марта 2026 года Международное тестирующее агентство (ITA) впервые опубликовало интерактивный дашборд с анонимизированной статистикой по заявкам на терапевтические исключения (TUE) — за весь период своей работы, с 2019 по 2025 год. Это один из самых честных шагов в направлении прозрачности антидопинговой системы за последние годы.

Сколько раз вы выходили из лаборатории с цифрами VO2max, порога и пиковой мощности — и думали: что теперь с этим делать? Как предсказать, какую мощность спортсмен выдержит на 3-минутном подъёме, 20-минутной разделке или часовой гонке? Обычно мы опираемся на опыт, интуицию, полевые тесты. Но что, если можно построить математическую модель, которая свяжет лабораторные данные с реальной производительностью на всём диапазоне длительностей — от 30 секунд до часа?

Я скептически отношусь к большинству новых добавок, которые каждый сезон обещают революцию в спортивной физиологии. Ну и кетоны туда же, однако это исследование больше, чем “просто померили лактат и V̇O₂max”, а действительно копнули глубже —тк брали биопсию мышц чтобы оценить митохондрии (золотой стандарт исследований раньше - сейчас крайне сложно получить разрешение этической комиссии на это). И главное — они работали с тренированными спортсменами по нормальной периодизированной программе с определенным тренировочным планом, а не просто загоняли добровольцев в overreaching три недели подряд.

За годы работы со спортсменами я сотни раз слышал: «У меня сердце велосипедиста размером с дом, потому что я делаю много интервалов». Или: «Нужно больше темповых тренировок, чтобы адаптация была серьезной». Классическая мантра: интенсивность — это всё. Но вот группа исследователей из Лёвена и Мельбурна взяла 151 атлета, записала их тренировки с помощью нагрудных пульсометров на протяжении трех месяцев, сделала МРТ сердца и получила результаты, которые переворачивают привычные представления.

Вы увеличили объёмы, стали жёстче работать на интервалах, но вместо прогресса — постоянная усталость, падение мощности и ощущение, что педали крутить всё тяжелее? Добро пожаловать в мир перетренированности— состояния, когда ваше тело переходит от адаптации к саботажу.